0
)其他登录方式
微信登录
账号登录
手机号登录
其他登录方式
微信登录
账号登录
手机号登录
发布时间:2025-05-08
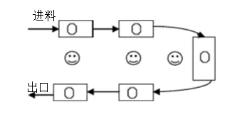
U型生产线
U形布置就是依逆时针方向按照加工顺序来排列生产线的,使得生产流程的出口和入口尽可能靠近,其形状类似于英文字母"U",因此而得名。它还有凹形、圆形、M形等其他形式。U形生产线的工作台的材料采用柔性线棒搭建,柔性线棒能根据工作场地的需要组装成车间工作理想的工作界面。

直型生产线
按照一条流的生产方式生产,呈直线形状,设备配置按物流路线直线放置,容易实现自动化传输,工人劳动强度相对低,但是平衡比较困难。

特点的区别
U型线的特点
U型组装线物流路线呈U型,进出料由一人控制,按工序排布生产线,作业员多能工化,移动式作业方式。其是首尾相顾,单件流,一旦某一生产环节出现停顿,尾部无成品产出,首部就及时停止新半成品的输入,减少在线库存,加快资金周转率。另外当有些生产环节生产节拍时间慢于整条线的节拍时(如新人等原因),其他工位可以及时给予支援,但这要求各个员工具有多外岗位培训和操作技能。
直型线的特点
设备配置按物流路线直线放置,容易实现自动化传输,工人劳动强度相对低,但是平衡比较困难。
U型线和直型线优缺点区别
U型线

适用范围:品种多,批量少,生产工序相对明确,工艺相对单纯之产品(产品大小无关紧要,U型线可以人动产品不动,也可以人不动产品动)
优点:(1)相对可以减少作业场地;(2)生产平衡率高;(3)产品切换时间短,完全可以多到零切换;(4)生产计划安排简单,可以根据标准工时直接将任务安排到个人。
缺点:(1)不便于大批量生产;(2)人员技能要求非常高,培养周期长;(3)工具设备投入高(每人都需要一套完整的生产设备及工具);(4)要有良好的物料支撑及物料配送体系(同样需要很好的物料配送人员);(5)生产布局规划及工艺节点设计要求高
直型线

适用范围:无论小批量多品种还是少品种大批量几乎所有类型产品都能适用
优点:(1)能批量化规模化生产,生产效率高;(2)物流流向单一,工序物料单一,物料配送及管理简单;(3)工序分工明确,人员技能熟练度提升快,并且可以通过轮岗制培养多能工;(4)工具设备投入少,一条线使用一套生产设备及工具。
缺点:(1)产品切换时间长;(2)生产线平衡率低;(3)物料配送难道大;(4)生产质量问题会导致批量返工;(5)人员管理难度大,工序分工明确,一个萝卜一个坑
到底选择U型线还是直型线的5大标准
1、首先要了解所需要生产产品及客户需求量(是多品种小批量还是少品种大批量);
2、计算出这条线的人力配置(员工数量是否有限制),确定人流、物料路线信息(是否有空间上的限制);
3、物料的大小和上料的规则(考虑布局空间是否有限制);
4、操作工是否能做到一人多用(多能工);
5、空间的利用率。